水处理药剂专业生产商
联系我们
销售热线:0632-5113088
外贸电话:0632-5113066
公司传真:0632-5113155
公司地址:山东省枣庄市市中区水处理剂产业园(十里泉东路1号)
E-mail:th@thwater.com
外贸电话:0632-5113066
公司传真:0632-5113155
公司地址:山东省枣庄市市中区水处理剂产业园(十里泉东路1号)
E-mail:th@thwater.com
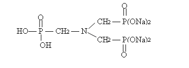
氨基三甲叉膦酸四钠 ATMP·Na4
Tetra sodium salt of Amino Trimethylene Phosphonic Acid (ATMP•Na4)
别名:氨基三亚甲基膦酸四钠
CAS No. 20592-85-2
分子式 C3H8NO9P3Na4 相对分子质量:387
结构式

一、性能与用途:
ATMP•Na4是ATMP的中性钠盐,可阻止水中成垢盐类形成水垢,特别是碳酸钙垢的形成。 ATMP•Na4适用于火力发电厂、炼油厂的循环冷却水、油田回注水系统,反渗透膜的阻垢剂。ATMP•Na4对于其他一些添加剂也有很好的相容性。ATMP•Na4特别适用于中性到酸性配方中,无氨味产生。
二、技术指标
| 项 目 | 指 标 |
| HG/T 4328-2012 | |
| 外 观 | 无色或淡黄色透明液体 |
| 活性组分(以ATMP计)/% | ≥30.0 |
| 活性组分(以ATMP·Na4计)/% | ≥38.8 |
| pH值(1%水溶液) | 6.0-8.0 |
| 密度(20℃)/g·cm-3 | 1.35~1.45 |
| Fe含量(以Fe计) /mg·L-1 | ≤10.0 |
| 氯化物 (以Cl-计) /% | ≤1.0 |
三、使用方法
ATMP•Na4与其它有机膦酸、聚羧酸或聚羧酸盐等复配成有机碱性水处理剂,用于各种不同水质条件的循环冷却水系统。
四、包装与贮存
ATMP•Na4用塑料桶包装,每桶30Kg 或250Kg,也可根据用户需要确定。ATMP•Na4贮于室内阴凉处,贮存期十二个月。
五、安全防护
ATMP•Na4为中性,操作时注意劳动保护,应避免与皮肤、眼睛等接触,接触后用大量清水冲洗。
